孔板流量計計量分析
SKLG型差壓式孔板流量計優點是適用于較大口徑管道的計量;結構簡單,安裝容易;無可動部件,性能可靠,耐用;應用歷史悠久,標準規定全;SKLG型差壓式孔板流量計按標準制造的孔板不需要標定;價格便宜。SKLG型差壓式孔板流量計缺點:壓損大時不適宜長輸管線計量;量程比小;前后直管段要求長,占地面積大;輸出信號為模擬信號,重復性不高;對整套流量計的精度影響因素多且錯綜復雜,很難提高測量精度。
一、不確定度分析
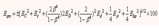
節流式差壓流量計不確定度計算式:
(1)式中;Eqm-流量相對不確定度,% ;EC,Eε,ED,Ed,Eρ,EΔp-分別為C,ε,D,d,ρ,Δp的相對不確定度,%;β-直徑比,無量綱。
1.SKLG型孔板流量計計算方程中描述流體流動狀態真實性不確定度因素
多年來,我國的天然氣計量一直以體積流量為結算依據,即以一個大氣壓(101.325kPa)下,20℃時的天然氣的量,對應的體積流量。根據標準,天然氣標準體積流量計算公式為[2]
(2) 式中:qsc-標準狀態下天然氣體積流量,m3/s;As-秒計量系數,無量綱,As=3.1794×10-6;C-流出系數,無量綱;E-漸近速度系數,無量綱;d-孔板開孔直徑,mm;FG-相對密度系數,無量綱;ε-可膨脹性系數,無量綱;F2-超壓縮因子,無量綱;FT-流動溫度系數,無量綱;p1-孔板上游側取壓孔氣流絕對靜壓,MPa;Δp-氣流流經孔板時產生的差壓,Pa。
流出系數C為通過節流裝置的實際流量值與理論流量值之比。它是在上游直管段充分長的實驗條件下,并且孔板節流裝置在滿足規定的技術指標下進行校準標定的,才具計量特性。
(3)式中: 直徑比,β=d/D;D值的單位為mm;當間距符合法蘭取壓方式時, L1=L2=25.4/D;當間距符合角接取壓方式時,L1=L2=0。
根據規范,孔板開孔直徑d、測量管內徑JD、直徑比β和管徑雷諾數ReD的極限值應符合表1規定。
表1 孔徑、管內徑、直徑比和雷諾數極限值表
| 法蘭取壓 |
角接取壓 |
D≥12.5mm |
D≥12.5mm |
50m≤D≤1000mm |
50m≤D≤1000mm |
0.20≤β≤0.75 |
0.20≤β≤0.75 |
ReD≥1260β2D |
ReD≥5000(用于0.20≤β≤0.45)ReD≥10000(用于β>0.45) |
當氣流流束在孔板前1D處充滿管道,且為紊流狀態時,流出系數C的百分誤差為:當β≤0.6時,為±0.6%;當0.67πβ≤0.75時,為±β%。
2.被測介質實際物理性質的不確定度因素
2.1 多相、非牛頓流體[3]~[5]
標準中要求流經流量計的流體必須是單相的牛頓流體。但是在油氣田開采中現場液體含有微粒雜質或氣泡,氣體中有液滴或固體微粒是難以避免的,問題的關鍵是這些分散相的含量多少會影響到基本特性?確定這個界限是很重要的,未來界限的試驗研究是流量計研制的一個內容。
結果表明:(1)用孔板流量計測量氣體流量,當氣體中夾帶少量體時,流量測量不確定度偏高,測量的濕氣流量隨β的增加而減少,在β比為0.7時,測得的流量偏差為-1.7% ;(2)當少量液體時,在β比為0.5時表明孔板性能較好,但是將夾帶在孔板上游脫出,以獲得計量性能;(3)用舊的孔板流量計測量濕氣,流量計量值將降低3%。
2.2 天然氣相對密度的影響
密度參數是天然氣測量中極為物性參數, 密度測量的不準確度對整個測量系統的不精度有著很大影響。根據計量條件估算密度帶來的不確定度:當儀表精度較低運行在下限時,不確定度為±0.818%;反之,不確定度則在±0.793%,由此可見密度在流量測量中至關重要,所以為了準確進行天然氣計量,選用在線色譜儀進行組分在線分析是十分必要的。
3.測量中重要設備(如孔板開孔直徑及直徑比)的不確定度
規范規定,標準孔板是由機械加工獲得的一塊圓形穿孔的薄板。它的節流孔圓筒形柱面與孔板上游端面垂直,其邊緣是尖銳的, 孔板厚與孔板直徑比是比較小的。孔板在測量管內的部分應該是圓的并與測量管軸線同軸,孔板的兩端面應始終是平整的和平行的
3.1 孔板偏心
根據GB2624-81規定,孔板應與節流裝置中的直管段對中。實驗表明,孔板偏心引起的計量誤差一般在2%以內,孔徑比β值愈高,偏心率影響愈大,應不用值高的孔板。
3.2 孔板彎曲
由于安裝或維修不當。使孔板發生彎曲或變形, 導致流量測量誤差較大。在法蘭取壓的孔板上進行測試,孔板彎曲產生的最大誤差約為3.5%,見圖1。
3.3 孔板邊緣尖銳度
孔板入口邊緣磨損變鈍不銳或受腐蝕發生缺口,或孔板管道內部的焊縫或計量法蘭墊片,都將使實際流量系數增大和差壓降低,造成計算氣量偏小。
二、提高計量精度的措施
1.消除氣流中的脈動流
管道中由于氣體的流速和壓力發生突然變化,造成脈動流,它能引起差壓的波動,而節流裝置的流量計算公式是以蘭孔板的穩定流動為基礎的,當測量點有脈動現象時,穩定原理不能成立,從而影響測量精度,產生計量誤差。
脈流流量總不確定度等于按GB/T2624-93計算的測量誤差與脈動附加不確定度的合成。
(4)式中:ET-脈動附加不確定度,無量綱;
-軸向時均速度,m/s;
-速度脈動分量均方根值,m/s。(公式應用條件
≤0.32) 因此,為了保證天然氣計量精度,必須抑制脈動流。常用的措施有:
(1)在滿足計量能力的條件下,應選擇內徑較小的測量管,提高差壓和孔徑比;
(2)采用短引壓管線,減少管線中的阻力件,并使上下游管線長度相等,減少系統中產生諧振和壓力脈動振幅增加;
(3)從管線中消除游離液體,管線中的積液引起的脈動可采用自動清管系統或低處安裝分液器來處理。
2.計量裝置的設計安裝應符合規范
由于影響孔板流量計測量精度的根本原因是節流裝置的幾何形狀和流動動態是否偏離設計標準。因此在使用過程中必須定期做好系統的校檢、維護工作,對于實際使用中的壓力、溫度、流量等工況參數的變化,應進行及時修正。可采用全補償的流量計算機的積算方案,以減少計量誤差,確保計量精度。
3.避免人為計量誤差
加強計量管理,提高操作人員技術素質。