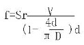
渦街流量計工作原理是在流體中垂直的插入一根柱狀阻力體時,在其兩側就會交替的產生旋渦,隨著流體向下游方向運動,形成漩渦,成為卡曼渦街,見圖1。產生渦街的阻力體稱漩渦發生體。實踐證明,渦街流量計旋渦的頻率與流速成正比,可用下式表示:
式中:f-旋渦頻率 d-柱狀體迎流面寬度 sr-斯特勞哈爾數 v-管內平均流速 d-管道內徑
實驗證明:當兩列旋渦之間的距離h和同列兩個旋渦之間的距離L滿足L/h=0.281時非對稱旋渦列就能保持穩定狀態。當流體雷諾數Re在5000-15000之間范圍內時,Sr基本不變,所以d和Sr為定值時旋渦發生體的頻率f與流體的平均流速成正比,即與體積流量Q成正比而與壓力、溫度、密度等無關。
當旋渦在柱體兩側產生時候,傳感器受到與流向垂直的交變升力的作用感生信號,升力的變化頻率是旋渦頻率,傳感器將信號送轉換器放大整形后得到與流速成線性比例的脈沖信號直接輸出或將其轉換成4~20mA標準信號輸出,流量Q與頻率f的關系如下: 式中:Q=瞬時體積流量(升/秒) f-頻率(Hz) k-儀表常數(次/升)

|